http://www.axminster.co.uk/downloads/bv30m_manual.pdf
Living locally to the importer.. I decided to buy a reject machine at a bargain price.
Printable View
http://www.axminster.co.uk/downloads/bv30m_manual.pdf
Living locally to the importer.. I decided to buy a reject machine at a bargain price.
To stop me doing very simple tasks on my Sherline CNC that were frankly outsized and just abusive on the Sherline. That was about 5 years ago.
The time has come for this lathe become NC :-) It was always on the cards, but this is it's year :-)
I am looking for suggestions with respect to upgrading the spindle, the bearings are somewhat simple, crude and a bit rough. Also I would like to increase the power and speed available - the max is um 1,400RPM as standard.
Attachment 5209
Currently the spindle is driven within the gearbox, but I think this is going to be problematic as I want to dump the gearbox contents entirely, I have been thinking about a cartridge style spindle with perhaps 5 bearings, so not sure where I am actually going to drive this yet.
I am envisaging a couple of plates at each end of the gearbox to enable me to align the spindle.
I am thinking about a servo to drive the spindle, but a VFD may have to suffice for phase 1.
Whilst trying to only ask one question at a time....... I am also thinking about putting the ball screw down between the rails, space is tight, but possible, however I am concerned about keeping chips away from the ball screw and if it is just going to be easier to put the ballscrew where the leadscrew was on the front face.. I am stuggling to envisage a way of really keep chips away from the ballscrew, even with a spiral wrap the incumbent leadscrew still got chips on it :-( Is this a valid concern or should I just re-use the spiral wrap and ignore it?
Attachment 5210
Ignore the second saddle - that is the one I will make if my current scraping activities write off the existing :-) Or more likely I ruin it by milling out the web that limits it to 7 inch travel currently and likely 6 unless I am vicious or cunning.
It is early days and I have a lot of issues to resolve, so please go easy on me!
cheers,
Jon
What type of bearings does it currently use in the spindle and if possible what's the bearing number (or dimensions)? It seems like a lot of work to make a whole new spindle if you could just replace them with tapered roller bearings, if it's not already got them. Although depending on how much faster you want to go and the size of the bearings taperered roller bearings may not be suitable. I would want to keep the gearbox, or at least have something in between the motor and spindle to change the ratio, as with a VFD (or servo to a lesser extent) you'll be lacking torque at low rpm. Very important for big drills, cutting stainless...etc.
It is important to keep the swarf of the ballscrew, perhaps something like machine bellows over the bed would do it?
Jonathan,
Thanks for the bellows idea, I had just been thinking about the ballscrew but bellows could help keep the ways clear as well.
I agree that it seems like a lot of work, and that just replacing the bearings would be the easy option.... but the gearbox has too much slop for index &or live axis use which is something I want to be able to do in the future.
The bearings look like they are just deep groove, not certain of the size yet. the spindle bore is MT5.
If I were to replace the bearings with a pair of nice AC ones, I could then hack a shaft in the gearbox and spindle shaft to use a toothed belt to drive the spindle.
The belt, cogs and tensioner would be trapped in the gearbox, which I was trying to avoid.. however I recon that a belt should last >1year so no issue.
The existing V belt drive can be replaced with more toothed belt and that could be used to provide ratio changes.. but I am hoping that I can get a beefy enough motor that there will be no need :-)
Now where is that growth hormone powder for the sherline?
Thanks.
Jon
In the cross slide I have 40*30mm gap for a ballnut, has anyone got any suggestions as to a 10-16mm ballnut with pre-load that would fit?
Have you considered putting it on the end of the cross slide, not under? It will stick out at the back, but it means you're not limited by the size of the nut. That's what I think I'll end up doing on my lathe (Colchester student).
You say your spindle bore is MT5, but in the manual it says MT4 so is the manual wrong?
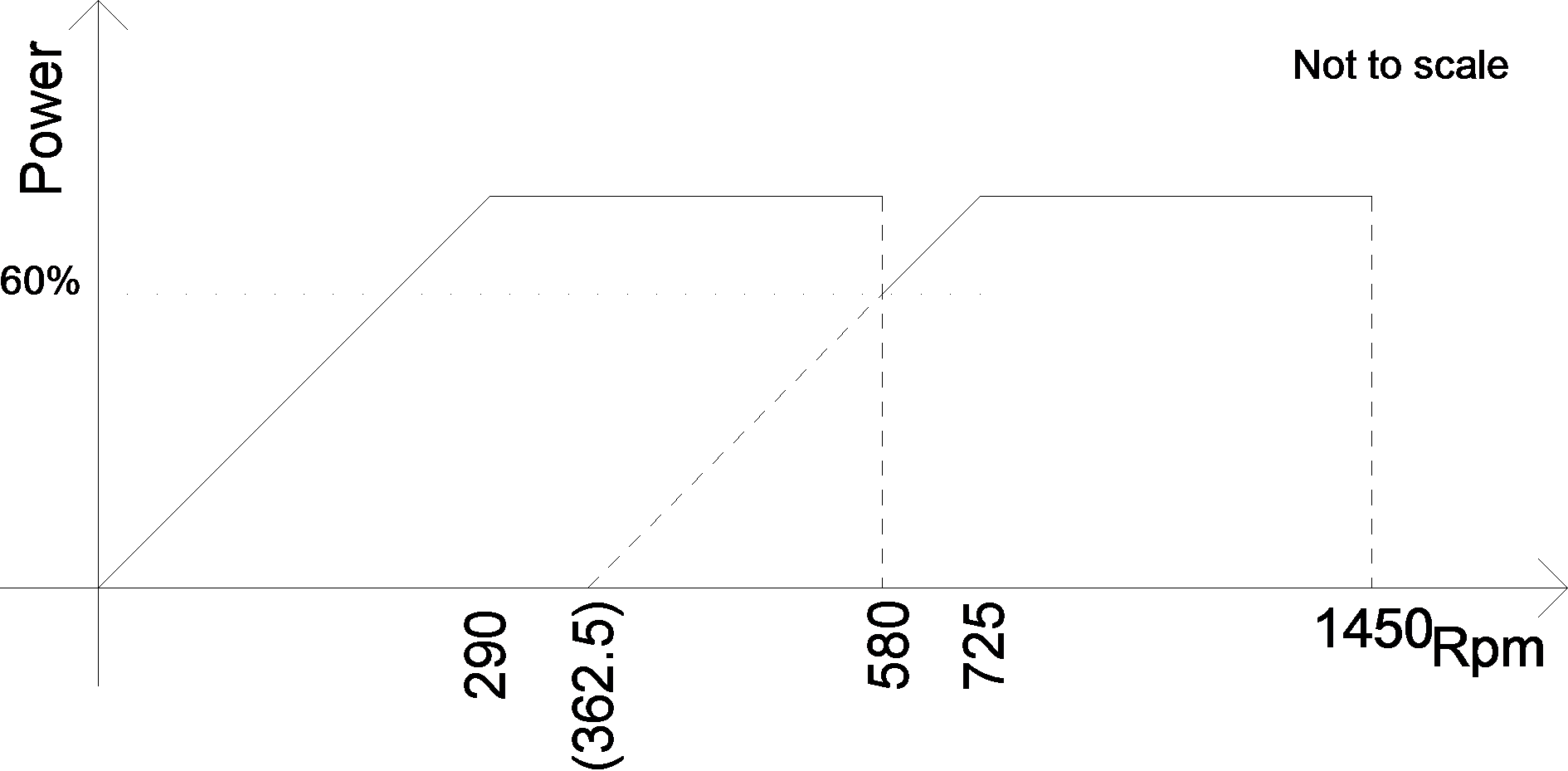
There's more to it than just getting a 'beefier' motor. Even just having a high/low gear with the ratio carefully selected (i.e. 2:1 is not likely to be optimal) will make a big difference. A reasonably approximation for a VFD is the motor will output roughly full power to half rated speed, but below that it drops proportionately to the speed. So with 2:1 you'd get full power all the way down to 25% speed, but much below that you're struggling.
For example lets say it's a 4-pole motor so about 1450rpm. If the ratio is greater, say 2.5:1, then you'll get full power from half way to full speed and full power from 1450/2.5 to half that. So that's rated power from 290 to 580rpm and 725 to 1450rpm. Between there the minimum power will be if you need just over 580rpm on the high gear, that's (725-362.5)/(580-362.5)=60% of rated power. So lets say the minimum power requirement is 500W, that means with 2.5:1 you'd need at least a 500/0.6=833W motor and the operating (>=500W) region would be 174rpm to 1450rpm compared with 580-1450 with direct drive.
Quick sketch:
Attachment 5224
So in short, plot a graph of the motor speed/power for 1:1 and the other ratio on the same graph and get them to overlap appropriately.
(Note I picked 2.5 pretty much at random, you'll need to work out how much power you need for each speed first.)
Jonathan,
wrt spindle: evidently you have read the manual for my lathe more recently than me, I have no reason to question the MT4!! Thank you for correcting me :-) I am sure I would have worked that out at some point when I draw up the spindle :-)
my grandiose ideas of using 5 AC precision bearings as per SKF recommendations: I think now are more likely to be tapered rollers as you suggested - they are much tougher and 2 of them should be just fine.
wrt cross slide: putting ballnut at the rear of the slide seems a bit ugly but tis a workable solution, a driven ballnut would be nicer, but I can't find anything appropriate.
wrt motor: As I said, the gearbox has too much slop in it for it to stay for live axis use, I am looking to invest in an Servo to drive the spindle, something slightly smaller (this is a 36Kg motor!!) than http://www.ebay.co.uk/itm/REXROTH-IN...#ht_959wt_1071 :-)
With a 1:2 drive:spindle ratio that would give me 9K RPM :-) I don't see any issue with low speed using a servo motor.
Clearly the inertia ratio here is overkill and I don't want to blow that much on it but I have time for hunting.
cheers,
Jon
I was thinking you would use a timing belt as that gets an accurate ratio and negligible backlash. If you can afford a servo that will of course be excellent.
9000 rpm is a bit much isn't it?! Bear in mind that tapered roller bearings have much lower speed ratings than angular contact bearings, so if you want a speed above their rating you'll have to use angular contact. Ratings are here:
http://www.skf.com/skf/productcatalo...e=3&startnum=7
The reference speed is with grease and the limiting speed is with oil and optimal cooling, so best to be below that. Tapered roller bearings is likely the cheapest and strongest option with a pair nearest the chuck and one deep groove bearing at the other end of the spindle and not fixed axially to ensure thermal expansion doesn't increase the pre-load on the other bearings...
Driven ballnut - like I did for my router?
http://www.mycncuk.com/forums/showth...t-design-ideas
When I convert my lathe I'll use a rotating ballnut for the leadscrew so I can still have a handle on the saddle to use it manually. Also saves working out mounts for the ballscrew to fit on the annoying curved surfaces of the bed castings.
I found some very expensive ballnuts that are meant for driving, if I can do it with an ordinary ballnut then that is certainly a way forwards.
Indeed I doubt I will end up with 9K spindle :-)
cheers,
Jon
BV20 lathe use AC bearings for spindle (with 15 deg angle), BV30 should not be different (except bearing size)
I would not touch the spindle for a phase I, gearbox allow full power at all speed, with VFD it is proportional to speed when going lower and constant when going higher, so be ready to throw kW here. I have 1.1kW on VFD for my BV20, and I wouldn't drop gearbox, not enough power for 42CD4 steel cuts or large cut in Al.