5 Attachment(s)
Help needed! Servo, MACH3 or Pokeys57CNC whats going on?
From a couple of days :boxing: with PokeysCNC and MAch3. So my new machine almost finished/ project 2 from signature/, work piling up and still could not make a proper cut.
Where i am:
-Mechanically there should not be a problem as all servo motors use keyway to the pulleys, nothing seems loose and all axis show nice repetition.
-Basically the Samsung servos are autotuned using the Samsung software. My first servo machine, so that's all i know :-)
-Next following the manual Pokeys57CNC is connected with MAch3
-In Mach 3 all is set up to 10000mm/min max and 1500mm/s acceleration, though all works ok twice faster /3000/
-jogging around all works fine.
-simple toolpaths like profiling square and circle or pocketing work fine.
-all reinstalled from fresh and again and again, then even the bloody screen was programmed again from fresh.
-plugin, firmware and software are latest, mach3 licensed, test toolpath generated in Aspire and seems ok, i tested some old toolpaths that i know they work ok in my small machine
So what's the problem then:
Basically during program if first profile or pocket is ok, then i have a drill toolpath it does all holes like -2mm deep.
So i tested it with 4 squares: all is perfect, first square 1mm deep, second 2, 3 and 4mm.
Start drilling though or change from one type of toolpath and looses ~2mm.
And the thing is that it does not lose anything as if at end of program command manually to 0, it goes exactly to 0
Same with V carving. see at the right side of video how it messed things. Basically it started right and then where the corners should be cut it cuts 2mm above where cut should be.
On the video see how it must cut holes from 1mm, 2, 3 to 4 and again to 1mm deep. It misses the first
https://youtu.be/eA-zn5ANfLQ
Thats how it should be:
Attachment 18402
Attachment 18395
this one is the only one that does it ok:
Attachment 18401
Attachment 18403
These are the first tests, 100x100 square, circle and then drill. The square was ok, the circle ok and just at the end of the circle profile it lifts up instead of closing the circle same depth. Then the final drill holes of course not deep enough.
Attachment 18400
What do you make of all this?
Re: Help needed! Servo, MACH3 or Pokeys57CNC whats going on?
Could be you have the Step pulse active on the falling edge rather than rising edge. Basicly it's timing issue and the Step pulse is happening before the Dir so your losing a position with every direction change.
Try changing the Step Active pin state and see if it makes difference.?
9 Attachment(s)
Re: Help needed! Servo, MACH3 or Pokeys57CNC whats going on?
Quote:
Originally Posted by
JAZZCNC
Could be you have the Step pulse active on the falling edge rather than rising edge. Basicly it's timing issue and the Step pulse is happening before the Dir so your losing a position with every direction change.
Try changing the Step Active pin state and see if it makes difference.?
Thanks. Sorry had some nasty flu for a couple of days. Maybe because of that damned machine.
Now i see my BIG mistake going with Samsung servos and Galil board initially. May be even so with the Pokeys. NO BLOODY SUPPORT. No one to ask to, nobody with similar setup, enormously big manuals http://www.sherv.net/cm/emoticons/fi...t-the-wall.gifmy ignorance, etc...
Meanwhile contacted Pokeys support and received an answer that there have not been similar issue. Still in contact with them.
Today i feel good so i decided again to brainstorm the problem. I read a couple of times again the bloody Samsung CSDJ PLUS manual. I could not find anything there or in the software about "falling edge" or "rising edge" , maybe cause they call them sth differently, though i think its not adjustable and somehow could be obvious to sb knowledgable looking at the pictures below.
Attachment 18414Attachment 18415
So i started step by step as per manual, checking all again:
Attachment 18423
For a moment i thought the culprit was the resistor value. As before drive was connected to galil board /24v/ . But, no- 220ohm, correct for 5v pulse signal.
So according to the manual then the Autotuning is the next step
Attachment 18424Attachment 18425Attachment 18426
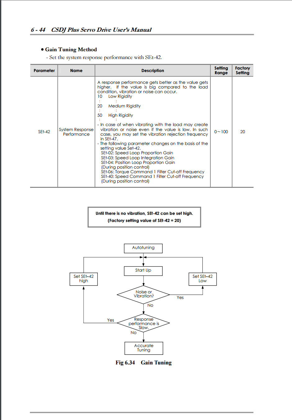
I am reading now section 6, which is all about the tuning that is in the manual, apart from the auto tuning:
Attachment 18422Attachment 18420Attachment 18421
I am starting to think that the auto tuning does not do things right for the Z. I am still baffled why the Jog from servo drive software is snappy and from Mach3 is like undershooting a bit?.
Could that be the autotuning and that from there on the drive is not tuned and undershooting? Unfortunately my phone needs recharging but later will take picture of the Gain and autotuning screen from software.
Another thing is -why when autotuning it always changes on next autotuning? it shows load inertia ratio 3-4, sometimes 8-9. Some times 1. I am baffled.
What i did as a last resort is raised the gain from 20 to 70 now, and all seems more snappy even from Mach3. Though i am tired for today. Will continue.
Re: Help needed! Servo, MACH3 or Pokeys57CNC whats going on?
Quote:
Originally Posted by
Boyan Silyavski
I could not find anything there or in the software about "[COLOR=#333333]falling edge" or "rising edge" , maybe cause they call them sth differently, though i think its not adjustable and somehow could be obvious to sb knowledgable looking at the pictures below.
The drive will expect to see Step pulse either on the Rising edge or Falling. Can be a setting but often the manual just states what it requires.
To change the Edge you do this in Mach3 using the Active hi/lo setting so it's easy to try if not sure.
Re: Help needed! Servo, MACH3 or Pokeys57CNC whats going on?
Ok I just looked at the pictures and it's right there in the first picture the portion you circled. TR=on /off
Also the warning is saying what I suggested that if the low/high is wrong there is position shift and you'll have errors. Every direction change you'll lose one pulse.
Don't think pokeys supports this but not used one for while so not sure but if possible wire step/Dir differential rather than Common Anode or Cathode.
Re: Help needed! Servo, MACH3 or Pokeys57CNC whats going on?
Just a follow up.
For the moment the problem is solved. Though not sure if entirely, as i have many wood jobs , so no time to play with fine adjustments. But wood is fine.
Reason was bad servo tuning. It seems it was a mistake to rely on the autotuning function. So it was undershooting . When positioning the Z. And the gantry also. Symptoms were you move it to position and when it stops there was a further fine adjusting movement. But as it is my first servo machine, i thought that normal.
So i still do not understand very well how to fine tune the parameters one by one, even if i read a lot of info on internet. However luckily Samsung servo has 3rd method as seen on last document above. Just raising the gain, so all else auto adjusts some how. factory was 20, 50 is for rigid machine, 100 is max. So i made the Z gain 75 and now is snappy as a bullet from new AK47.
All other axis are set to 50, and i am still testing if to raise that or no.
I still have to understand if TR=on/off is set right, and how to change it exactly from the servo software. I guess as the machine is rigid, motors and acceleration are calculated correctly, gain is set correctly, if problems still persist then that would be the solution. Unfortunately Pokeys does not support differential.
Truth is i wanted to know better that cheap board for my future projects, otherwise i would have installed CSMIO already. But it seems handles things well for now. Some small quirks but that's Mach3 .